sirotek z Lince

Hledáte pomoc při pátrání třeba ve vzdáleném archivu? Potřebujete zjistit nějakou lokální informaci? Nevíte si rady se svým genealogickým projektem? Toto je sekce pro vás!
Pravidla fóra
1. PŘEDMĚT ZPRÁVY. Prosím, snažte se uvést předmět zprávy stručně a co nejvýstižněji
2. VYŘEŠENO. Po vyřešení doplňte velkými písmeny do začátku nadpisu v prvním příspěvku VYŘEŠENO (nepřepisujte svůj předmět). Postup je popsán níže v oznámení.

sirotek z Lince

Příspěvekod Vašek Kovář » pon říj 08, 2018 13:24

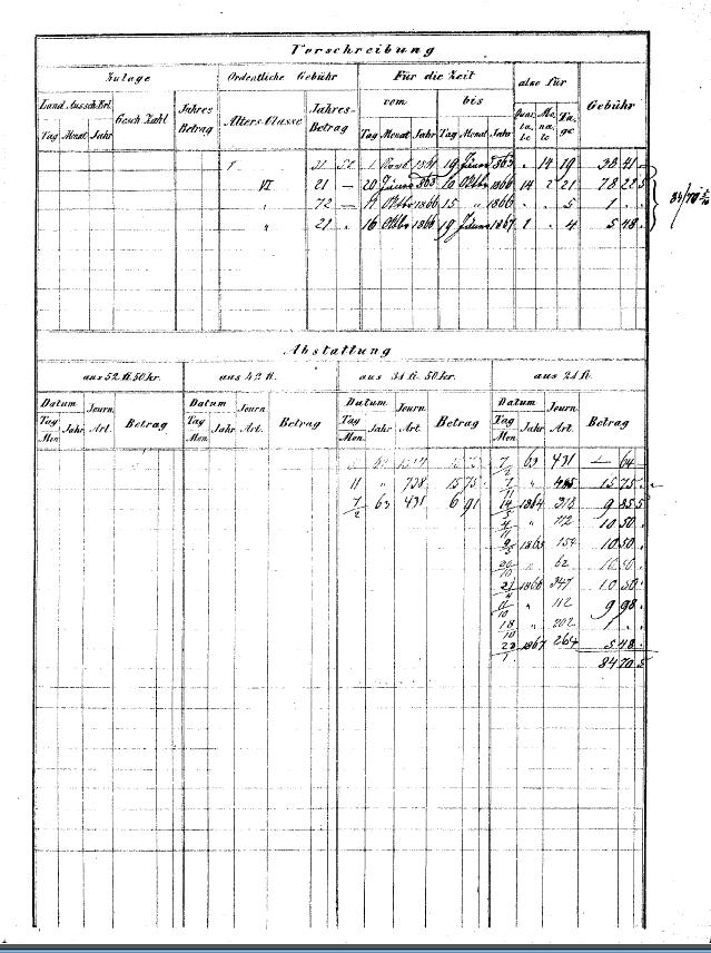
Dobrý den, chtěl bych poprosit o pomoc při hledání mého předka Františka Lechnera. Dle oddací knihy byl sirotek z Lince č. 4334/1857 . Ze Zemského archivu z Lince nám poslali jeho dokumentaci. Bohužel z ní přečtu jen že se narodil 20.1.1857 a 25.2.1857 jsou zapsáni jako rodičové manželé Bočkovi, kteří ho převezli do Jílovic. Od roku 1863 někdo ukládá pravidelně částku na účet určený k neznámému účelu. 10.10.1866 je zapsána změna rodičů na jejich dceru Rasálii Vackovou. Dokumenty přikládám.
Dále jsem se obrátil na matriku města Linz kde má údaj dle domovního listu z 25.4.1867 č.3862 Lince I.942.
Tento údaj je z oddací knihy. Bohužel matrika v Linci také není digitalizovaná a tak jsem je kontaktoval mailem. Došla odpověď, že mi informace rádi poskytnou za poplatek 25 Euro za 30 min hledání.
Myslíte si, že jsou někde uvedeni informace o rodičích a jaké informace můžu získat z matriky z Lince?.
Všem děkuji za radu a pomoc Vašek Kovář ze Soběslavi
Přílohy
č.5.jpg
č.4.jpg
č.3.jpg
č.2.jpg
č.1.jpg
Naposledy upravil Vašek Kovář dne stř říj 10, 2018 14:00, celkově upraveno 1
Vašek Kovář
 
Příspěvky: 3
Registrován: pon říj 08, 2018 12:34
Oblast pátrání: Třeboňsko, Prachaticko

Re: sirotek z Lince

Příspěvekod Zora » pon říj 08, 2018 15:56

Dobrý den,

Zkuste prosím nějak maličko upřesnit, co jste hledal a co jste našel.
Dle oddací knihy byl sirotek z Lince č. 4334/1857
kde se ženil? Máte záznam o sňatku? Pokud ano, přiložte jej.

Za sebe píšu, že ty skeny skoro nepřečtu, blbě vidím, tohle je nad moje možnosti, tak snad někdo jiný , nebo vložit na úložiště.
Dále jsem se obrátil na matriku města Linz kde má údaj dle domovního listu z 25.4.1867 č.3862 Lince I.942.

Jak jste se dozvěděl (z jakého zdroje) o domovním listě? Kde je uveden odkaz na něj?
Dítě, pokud jsem dobře pochopila, bylo dovezeno do Jílovic a tedy v roce 1867 by nemělo být v Linci.
Možná jste zaměnil domovní list ??? a domovský list??? Dítě by mělo mít domovskou příslušnost (ta se zapisuje na domovský list) v Linci, to ale berte s
. otazníkem, zcela jista si tím nejsem. Domovní list by možná mohl být nějaký doklad, vedený k domu a jeho obyvatelům, jenže v roce dítě v Linci nebydlelo?

10.10.1866 je zapsána změna rodičů na jejich dceru Rasálii Vackovou
Znáte osudy této dcery, především, kde a kdy se vdávala? Tady bude nějaký rozpor v označení "rodiče" Rodiče dítěte nejdou přepsat. Snad tedy pěstouni... opět s otazníkem, prostě na to nevidím.
Není tam uvedeno místo rodiče - Eltern
slovo
pěstoun - Zieheltern, Ziehvater?

Já bych Vám ráda pomohla, především proto, že matriky Lince jsou online - tedy narození, úmrtí, oddání. Je pravděpodobné, že v Linci bylo dítě pokřtěno, ovšem je tam cca 15 farních úřadů. (odkazy 1 - 15, ty další jsou vídeňská arcidieceze.
http://data.matricula-online.eu/de/such ... 500%2C2000

Zkuste něco udělat s těmi skeny. Tady se to nedá zvětšit, špatný kontrast...
Třeba pomohou kolegové bez brýlí :-)
Ještě podivný dotaz - dítě se jmenuje jen František? nemá třeba ještě další křestní jméno? (zdálo se mně, že jsem v jednom namátkově otevřeném indexu 1857 viděla dítě Karl Lechner.)

Z
Uživatelský avatar
Zora
 
Příspěvky: 30904
Registrován: čtv kvě 31, 2012 14:01
Bydliště: Ivančice
Oblast pátrání: Ivančice a okolí, Brno-Zábrdovice, jižně od Brna, Tišnovsko, Vysočina-Žďár, Křižanov, Velkobítešsko, Náměšťsko, z části Třebíč, mlynářské rody na řekách Jihlava, Oslava, matriky Rakousko z části

Re: sirotek z Lince

Příspěvekod Vašek Kovář » pon říj 08, 2018 16:55

Dobrý den, přikládám oddací knihu z Jílovic. To je jediný zdroj z kterého jsem čerpal. Zde je uvedeno, že pěstounka byla Rozálie Vacková. Ty skeny co dorazily z Lince mi pomáhala přeložit kolegyně v práci. Ta vyčetla, že jsou tam zapsáni rodiče (asi adoptivní) manželé Bočkovi. Dle pátrání v Jílovických matričnich knihách jsem zjistil, že Rozálie Vacková roz.Bočková byla jejich dcera, která si později vzala Vacka zůstala s rodiči na statku Jílovice č.23. kolegyně přečetla, že ho odvezli jako měsíční mimino a tak nevím proč je tam záznam z roku 1867. Možná jsou mé myšlení asi špatné. Snažil jsem se skeny ořezat a přikládám. Origináli mohu zaslat.
Jméno Karl Lechner nevím. V Jílovicích byl jediný Lechner on a ještě jiný sirotek Lehner ale teď jméno nevím. Umřel v roce 1892 jako mimino. Děkuji Vašek Kovář
O Lechner x Jelínková 22.2.1881 -Linec.JPG
č.2.jpg
č.3.jpg
č.4.jpg
č.5.jpg
Vašek Kovář
 
Příspěvky: 3
Registrován: pon říj 08, 2018 12:34
Oblast pátrání: Třeboňsko, Prachaticko

Re: sirotek z Lince

Příspěvekod Zora » pon říj 08, 2018 17:22

Dobrý den, přikládám oddací knihu z Jílovic. To je jediný zdroj z kterého jsem čerpal. Zde je uvedeno, že pěstounka byla Rozálie Vacková. Ty skeny co dorazily z Lince mi pomáhala přeložit kolegyně v práci. Ta vyčetla, že jsou tam zapsáni rodiče (asi adoptivní) manželé Bočkovi. Dle pátrání v Jílovických matričnich knihách jsem zjistil, že Rozálie Vacková roz.Bočková byla jejich dcera, která si později vzala Vacka zůstala s rodiči na statku Jílovice č.23. kolegyně přečetla, že ho odvezli jako měsíční mimino a tak nevím proč je tam záznam z roku 1867. Možná jsou mé myšlení asi špatné. Snažil jsem se skeny ořezat a přikládám. Origináli mohu zaslat.
Jméno Karl Lechner nevím. V Jílovicích byl jediný Lechner on a ještě jiný sirotek Lehner ale teď jméno nevím. Umřel v roce 1892 jako mimino. Děkuji Vašek Kovář


Tohle je už lepší :-))
S velkou určitostí se jedná o dítě, které byl svěřeno do pěstounské péče manželům Bočkovým a poté přešlo do pěstounské péče jejich dcery. Nejedná se tedy o vztah dítě - rodiče, resp. adoptivní rodiče, ale o vztah pěstouni - schovanec .
Pěstounská péče byla placená, pěstouni dostávali ovšem zanedbatelnou částku, ale byly to hotové peníze.
V roce 1867 byl dítěti v Linci vydán domovský list - měl doklad o své domovské příslušnosti.
Vyžádali si ho zřejmě pěstouni - tento schovanec nemohl mít domovskou příslušnost po pěstounech a zřejmě bylo třeba na obci (Jilovice) vykázat, kam je domovsky příslušný.
Večer se zkusím zavrtat do matrik Lince, třeba se podaří najít zápis o narození.... Na dokladech vidím, že se snad narodil v "Geburhaus", tedy porodnici, bohužel nevím, kde v Linci bylo tohle zařízení (ve které z těch 15 farností) - musím dohledat.

Ty částky, které byly pro dítě skládány by se měly dostat k pěstounům. Ono svěření do pěstounské péče většinou fungovalo tak, že obec, kde se dítě narodilo, hledala pro sirotky náhradní rodiny, Ty pak o dítě pečovaly s drobnou finanční podporou, pokud dostávalo dítě něco navíc, tyhle finance by se k dítěti měly dostat.... ale to je nepodstatné.
Z
Uživatelský avatar
Zora
 
Příspěvky: 30904
Registrován: čtv kvě 31, 2012 14:01
Bydliště: Ivančice
Oblast pátrání: Ivančice a okolí, Brno-Zábrdovice, jižně od Brna, Tišnovsko, Vysočina-Žďár, Křižanov, Velkobítešsko, Náměšťsko, z části Třebíč, mlynářské rody na řekách Jihlava, Oslava, matriky Rakousko z části

Re: sirotek z Lince

Příspěvekod Zora » úte říj 09, 2018 14:33

Odkaz na matriku narození a křtu, kde je toto dítě uvedeno, jsem Vám poslala mejlem.
Zdravím a přeji hodně úspěchů v dalším hledání. Z
Uživatelský avatar
Zora
 
Příspěvky: 30904
Registrován: čtv kvě 31, 2012 14:01
Bydliště: Ivančice
Oblast pátrání: Ivančice a okolí, Brno-Zábrdovice, jižně od Brna, Tišnovsko, Vysočina-Žďár, Křižanov, Velkobítešsko, Náměšťsko, z části Třebíč, mlynářské rody na řekách Jihlava, Oslava, matriky Rakousko z části

Re: sirotek z Lince

Příspěvekod Vašek Kovář » stř říj 10, 2018 14:02

Chtěl bych moc poděkovat paní Zorce za pomoc. Vašek Kovář
Vašek Kovář
 
Příspěvky: 3
Registrován: pon říj 08, 2018 12:34
Oblast pátrání: Třeboňsko, Prachaticko


Zpět na Hledám pomoc

Kdo je online

Uživatelé procházející toto fórum: Žádní registrovaní uživatelé a 6 návštevníků